激光打標卡的腳踏開關如何接?
一、激光打標卡的腳踏開關如何接?
一般激光打標的輸入口有兩種內部結構:
1、內部自帶電源的輸入口。
這種輸入口和激光打標卡是公用電源的,適合連接無源開關常開觸點。也就是直接接開關即可,如圖:
左邊是腳踏開關,這種端口雖然連接了光耦,其實本質上并沒有隔離。因為開關使用的電源和激光打標卡時公用的。當腳踏開關閉合,光耦的發光二極管亮,信號也就傳到了激光打標卡內部。

2、不帶電源的光耦隔離輸入口。
如圖,這種輸入口,內部是不帶電源的。需要我們外接電源。有人會問,為什么要設計這種輸入口?全部自帶電源豈不是更方便?這是因為開關觸點畢竟沒有光電感應類的開關響應速度快,這種端口更適合接光電開關。而光電開光一般的工作電壓都是24V。而激光打標卡時用的5V電源,所以需要用光耦隔離,同時還要限流。輸入端口的光耦的輸入端引腳引出來,根據客戶實際情況,靈活選用。


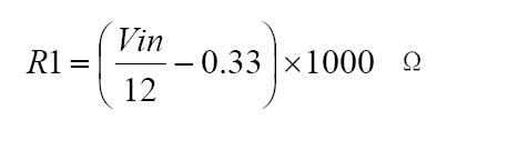
如圖,我們可以看到光耦的內部輸入端串接有330歐姆的限流電阻。這只適合于當外接電源電壓是5V時可以安全使用。當外部電源 Vin 實際的電壓值決定是否外接電阻 R1,以確保輸入電流在 10mA—— 15mA 之間。如果輸入電壓大于 5V 時,建議在激光打標卡外串接限流電阻 R1。假設選擇輸入電流為 12mA,則輸入電阻 R1 的計算方法如下:

所以,當我們連接一般的腳踏開關時,采用內部自帶電源的輸入口連接即可,這樣很方便。例如,我們接到IN0,也就是將腳踏開關接到BD15的1腳和12腳之間。當腳踏開關閉合,光耦亮,腳踏信號進到卡里面。

當我們使用飛行打標時,需要產品經過光電傳感器時,將來料信號立刻給激光打標系統,這種情況下接機械式的腳踏開關是 不能滿足快速響應要求的。這就需要將光電傳感器連接不帶電源的光耦隔離輸入口。
二、激光打標機軟件里面如何設置腳踏開關?
當我們接好了腳踏開關線,就需要在激光打標軟件里面設置:如圖:

本文鏈接:http://www.hebeikunou.com/news/801.html 轉載需授權!










